You are here : Home > Lateqs team > Intervalley scattering in SOI quantum wells

Intervalley scattering in SOI quantum wells

Published on 23 January 2019
A collaboration with Bath university (UK), NTT BRL (Japan) and Tohoku University (Japan)

Whether or not electrons confined to two dimensions conduct electricity when the temperature approaches absolute zero remains a subject of intense research and controversy. It is well established that the “metallic behavior” is stronger in systems like silicon where valley degeneracy enhances interactions. However, little is known about the role of valley splitting and inter-valley scattering, two processes associated with valley degeneracy. After demonstrating that valley splitting could be electrically controlled in Si quantum wells on insulator (SOI), we have recently shown that valley splitting suppresses the metallic behavior in Si (see the page dealing with valley splitting). Here, we have addressed the problem of inter-valley scattering which has previously been disregarded because of the lack of theoretical description.

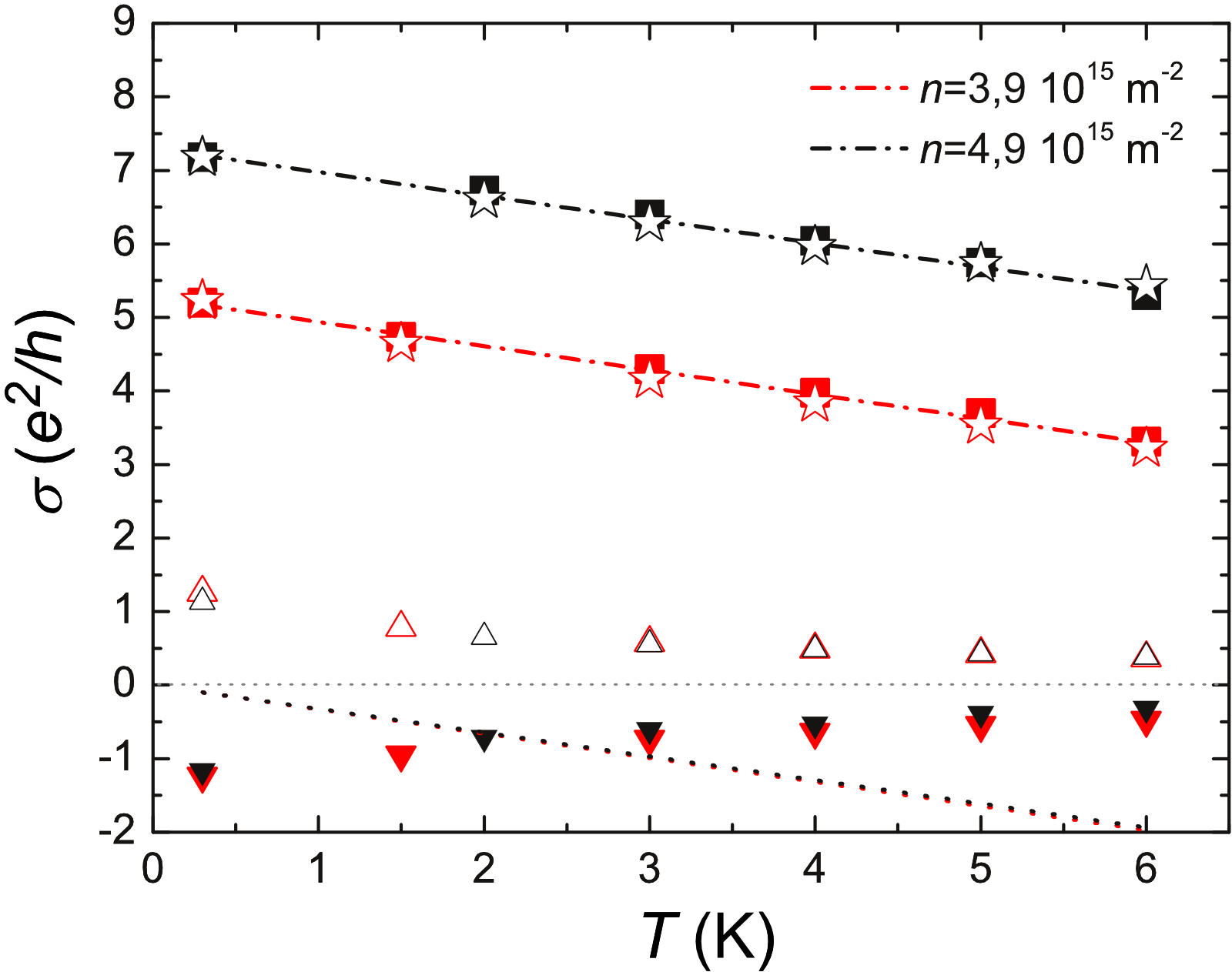
Measured conductivity σ (■), fit of σDBall to these data (- - -), Ballistic contribution only (···), diffusive contribution (△), WL contribution (▼) and the sum of Drude, WL, diffusive and ballistic contributions (★). Red symbols correspond to n=3.9×10¹¹ m-² and the black symbols to n=4.9×10¹¹ m-².
cancellation of weak localization and diffusive electron electron interaction corrections.

We have implemented a recent theory of weak-localization magneto-conductivity (MC) with inter-valley scattering (see Kunstevich et al.in Phys Rev B (2007)) to extract the inter-valley scattering time in our sample. Doing so not only allows us to demonstrate that the metallic behavior can be observed even in presence of strong inter-valley scattering, but also to show that this observation can be quantitatively explained by the interplay of electron-electron interactions and weak localization. Interestingly, weak localization is canceled by the diffusive part of interaction corrections to conductivity leaving a paradoxical linear ballistic like temperature dependence which had remained largely overlooked but is now clearly explained.

More importantly, our analysis reveals that interactions are much stronger in SOI due to the reduced screening. This could lead to a renewal of the subject as it should allow reaching regimes of interactions which were previously unaccessible experimentally in Si.

Read more in V. T. Renard et al. Scientific Reports 3, 2011 (2013))